Лунный календарь стрижек на 2019 год — Мир космоса
Лунный календарь стрижек на 2019 год — календарь на каждый месяц 2019 года, в котором указано местонахождение луны относительно зодиакальных созвездий, даты и точное время основных фаз луны (новолуние, первая четверть, полнолуние, последняя четверть). Лунный календарь стрижек на 2019 год рассказывает не только о циклической смене фаз Луны и лунных дней, но и дает рекомендации о стрижке и окраске волос.
В зависимости от расположения Луны в лунном календаре стрижка волос в 2019 году имеет, как благотворное влияние на дальнейшую Вашу судьбу (влияет позитивно на долголетие, удачу, финансовую стабильность и внешнюю привлекательность), так и негативное, поскольку стрижка в эти дни может повредить жизненной силе человека и навлечь беду.
Лунный календарь стрижек 2019
Лунный календарь стрижек 2019
Сделать новую прическу, обновить стрижку, ухаживание за волосами – любимые женские хлопоты.![]()
Все прекрасно знают, что помимо всего прочего, фазы Луны оказывают воздействие на рост волос. Если подровнять волосы в период растущей Луны, то они будут расти на порядок быстрее, чем уже после стрижки при убывающей Луне. В новолуние астрологи не рекомендуют посещать салоны красоты и визажистов. В такие дни стрижка может даже укорачивать жизнь человека, забирая энергетику и здоровье.
Для доказательства своей теории они убеждают, что основная причина мужского облысения в том, что 1-я стрижка ребенка была произведена на убывающей Луне. С этим же правилом объединяют женщин, у которых редкие и слабые волосы.
Навигация по лунному календарю стрижек
Другие лунные календари на 2019 год
Лунный календарь стрижек на текущий, 2020 год
Отправная точка в мир лунного календаря и все о влиянии Луны на нашу жизнь Вы найдете на странице «Лунный календарь».
Лунный календарь стрижек на предыдущие 5 лет
Лунный календарь стрижек на следующие 5 лет
Календарь стрижек на январь, благоприятные дни для стрижки и окрашивания волос по лунному календарю – Рамблер/гороскопы
1 января, среда
Растущая Луна в Водолее. Плохой день для стрижки, не делайте ничего, кроме обычного ухода за волосами. То же касается ногтей.
2 января, четверг
Растущая Луна в Водолее. Благоприятно стричься у пожилого мастера, закрашивать седину и делать простые классические стрижки, ровнять концы.
3 января, пятница
Растущая Луна в Водолее. В этот день воздержитесь от посещения парикмахерской, чтобы не привлекать неприятности и болезни.
4 января, суббота
Растущая Луна в Водолее. Стрижка сегодня может существенно испортить настроение и подорвать здоровье.
5 января, воскресенье
Растущая Луна в Водолее. Стрижка сегодня навредит волосам, потому что они более чувствительны к воздействию на них. Если есть возможность, отложите посещение парикмахерской.
6 января, понедельник
Растущая Луна в Водолее. Не стригите волосы и ногти, лучше даже не мыть голову. Волосы весьма восприимчивы к травме. Кроме того сегодня лучше не менять имидж, чтобы не привлечь неприятности.
7 января, вторник
Растущая Луна в Водолее. Сегодня благоприятный день для мужских и подростковых причесок, яркого авангардного стиля. Учитывайте, что волосы после стрижки будут быстро отрастать.
8 января, среда
Растущая Луна в Водолее. Стрижка привлечет улучшение деятельности, финансового положения, увеличение собственности расположение начальства. Ради своего же благополучия хотя бы проведите по волосам.
9 января, четверг
Полнолуние. Сегодня посещение парикмахерской лучше отложить на более благоприятный день, потому что стрижка может негативно повлиять на общее самочувствие.
10 января, пятница
Убывающая Луна в Водолее. Стрижка сегодня не принесет ничего хорошего, вероятно увеличение нервной возбудимости, что принесет в итоге плохое самочувствие.
11 января, суббота
Убывающая Луна в Водолее. Сегодня стрижка может неблагоприятно отразиться на настроении и здоровье, постарайтесь отложить поход к парикмахеру на другой день.
12 января, воскресенье
Убывающая Луна в Водолее. Сегодня подвижный, нервозный день, он не подходит для стрижки и вообще работы с колющими и режущими предметами. Не стригитесь, чтобы не привлечь неприятности.
13 января, понедельник
Убывающая Луна в Водолее. Сегодня стрижка может принести пользу вам, но навредить волосам, они могут стать непослушными и безжизненными. Если стрижка регулярная, то особого вреда не принесет, если вы стригитесь редко, отложите на другой день.
14 января, вторник
Убывающая Луна в Водолее. Сегодня не стригите волосы, даже откажитесь от укладки.
День может принести вред волосам, а вам плохое самочувствие.
15 января, среда
Убывающая Луна в Водолее. Сегодня удачный день для стрижки, покраски или завивки волос. Пролистайте модные журналы, наверняка вы найдете прическу, которая идеально вам подойдет. Тогда можно смело отправиться в салон красоты для полного преображения.
16 января, четверг
Убывающая Луна в Водолее. Отличный день для стрижки во всех отношениях, волосы будут отрастать пышными и здоровыми, стрижка приносит в дом благополучие.
17 января, пятница
Убывающая Луна в Водолее. Отличный день для стрижки во всех отношениях, волосы будут отрастать пышными и здоровыми, стрижка приносит в дом благополучие.
18 января, суббота
Убывающая Луна в Водолее. Благоприятный день для стрижки. Волосы лягут красиво, краска будет нестойкой, но отрастать волосы будут медленно. Стрижка приносит благосостояние.
19 января, воскресенье
Убывающая Луна в Водолее. Стрижка волос в этот день может значительно ухудшить ваше состояние здоровья.
Сегодня лучше избегать изменения внешнего вида.
20 января, понедельник
Убывающая Луна в Водолее. Это удачное время для различных процедур, направленных на укрепление волос, придание им большего блеска, естественного сияния. Можно сделать ламинирование или тонирование.
21 января, вторник
Убывающая Луна в Водолее. Сейчас благоприятное время для создания очаровательных стрижек и укладок. Волосы будут отрастать медленно, краска будет быстро смываться, создавая мягкие пастельные переливы. Окраска хороша в любые модные оттенки.
22 января, среда
Убывающая Луна в Водолее. Отличный день для создания шедевров укладки и обычных стрижек. Посещение парикмахера принесет счастье и благополучие, хотя и средств может быть потрачено больше обычного.
23 января, четверг
Убывающая Луна в Водолее. Сегодня не самый лучший жен день для модельных стрижек, укладок и окраски волос. Отправляетесь в парикмахерскую, если согласны на что-то незамысловатое.
24 января, пятница
Убывающая Луна в Водолее.
Даже самый компетентный мастер в этот день не сможет сделать вам желаемую прическу. Вы рискуете заплатить много денег за услуги парикмахера и в итоге остаться у разбитого корыта.
25 января, суббота
Новолуние. Очень неблагоприятный период для стрижки волос. Дайте голове отдохнуть .
26 января, воскресенье
Растущая Луна в Водолее. Новая прическа принесет хорошее настроение. Пробуйте окрашивание в яркие цвета, краска будет держаться долго, но волосы быстро отрастут.
27 января, понедельник
Растущая Луна в Водолее. Не ходите к парикмахеру, можете потратить зря деньги, испортить настроение и волосы. Стрижка сегодня может принести проблемы со здоровьем.
28 января, вторник
Растущая Луна в Водолее. Если вы не хотите лишить себя прекрасных возможностей в карьере и личной жизни, не стоит сегодня стричь волосы. В противном случае вы рискуете отпугнуть фортуну.
29 января, среда
Растущая Луна в Водолее. Сегодня стрижка будет удачной, она зарядит вас оптимизмом надолго.
Яркие сочные цвета будут радовать глаз и долго держаться, но волосы быстро отрастут.
30 января, четверг
Растущая Луна в Водолее. Если не хотите ухудшить обоняние и испортить волосы, обходите парикмахерскую стороной. Даже после мытья волосы могут стать упрямыми и ломкими.
31 января, пятница
Растущая Луна в Водолее. Плохой день для стрижки, не делайте ничего, кроме обычного ухода за волосами. То же касается ногтей.
Лунный календарь стрижек на январь 2019 года
Сохранить и поделиться
Чтобы проще было пользоваться Лунным календарем стрижек, надо хотя бы в общих чертах представлять какие факторы влияют на здоровье и рост волос. Наши рекомендации базируются в основном на трех составляющих:
- Положение Луны в разных знаках Зодиака имеет различное влияние на состояние волос. Дни, когда Луна проходит через знаки Козерога, Тельца, Льва и Девы, считаются наиболее благоприятными для посещения парикмахерской.
А вот если Луна в Водолее или Овне, то стрижку лучше отложить. - Различные Лунные дни
могут оказать как положительное, так и отрицательное воздействие не только на рост волос, но и в целом на здоровье. - Фазы Луны также влияют на рост волос. Если состричь волосы на растущей Луне, то они отрастут намного быстрее, чем на убывающей.
Надо отметить, что все эти составляющие Лунного календаря стрижек, часто входят в противоречие друг с другом. Наиболее благоприятным временем для посещения салона красоты, являются дни, когда все эти три фактора будут благотворно влиять на состояние волос.
Лунный календарь стрижек на январь, выбираем благоприятные дни
Благоприятные дни для стрижки волос в январе 2019 г. для женщин и мужчин
В календаре зеленым цветом отмечены дни, когда лучше всего стричь волосы в январе 2019 года, а красным, когда стрижка волос не рекомендуется.
.
Самые благоприятные дни для стрижки волос в январе 2019 г — 3, 4, 16, 18, 24, 31
.
.
Нейтральные дни для стрижек в январе — 5, 8, 17, 22, 23, 26, 30
.
Самые неблагоприятные дни для посещения парикмахерской — 1, 7, 10, 11, 13, 14, 20, 25, 29
.
Не самые удачные числа, чтобы стричь волосы — 6
Посмотреть общий лунный календарь на январь с подробными описанием фаз, временем восхода и заката Луны
Стрижка волос по лунному календарю в январе 2019 года
Дата
Когда лучше стричь волосы в январе 2019 года
- Луна в Скорпионе — самое неоднозначное время, поскольку смена имиджа с одинаковой вероятностью может оказать как положительное, так и отрицательное воздействие на личную жизнь и взаимоотношения с представителями противоположного пола.
- 25 лунный день — стрижка может стать причиной ухудшения зрения в результате повышения глазного давления, появляется риск возникновения ячменя и других заболеваний глаз.

- Убывающая Луна — визит в салон красоты во время Убывающей Луны значительно замедлит рост волос, однако приведет к укреплению волосяной луковицы.
Не самый удачный день для обновления прически.
- Луна в Скорпионе — Скорпион неоднозначно влияет не только на прическу. От коварного знака можно ожидать все, что угодно: как удачу в личных делах, так и полный крах.
- 26 лунные сутки – хороший день для создания прически, благодаря которой в жизни прибавиться счастливых и радостных моментов.
- Убывающая Луна — при Убывающей Луне можно смело экспериментировать с цветом, окрашивать локоны в разные оттенки — даже если выбранный цвет не придется по вкусу, нет поводов для беспокойства, поскольку краска не продержится в течение длительного времени. Стрижка не окажет негативного воздействия на структуру волос, однако значительно замедлит их рост.
В целом это хороший день для посещения парикмахерской.
- Луна в Стрельце — хороший день для стрижки, благотворно влияющий на карьерные достижения и взаимоотношения с людьми, но на состояние волос заметного влияния не оказывает.
- 27 лунный день — очень благоприятный день, посещение парикмахера наверняка привлечет в вашу жизнь много радости и приятных волнений.
- Убывающая Луна — стрижка волос в фазе Убывающей Луны способствует укреплению корней и уменьшает выпадение, но в тоже время сильно замедляет рост волос. При покраске разрешены эксперименты с непривычными оттенками — полученный результат продержится не долго.
По Лунному календарю стрижек — 3 января 2019 г один из самых благоприятных дней для стрижки волос в этом месяце.
- Луна в Стрельце — изменение образа поможет реализоваться во всех начинаниях, будет способствовать успеху в рабочих делах, отношениях с коллегами и близкими людьми, но на состояние волос заметного влияния не оказывает.

- 28 лунный день — посещение стилиста сделает вас гораздо привлекательнее в глазах окружающих – это окажет положительный эффект в личной жизни и на рабочем поприще.
- Убывающая Луна — если не любите часто стричь волосы, то ходите в парикмахерскую на убывающей Луне. Здоровья волосам это не прибавит, но отрастать они будут долго.
По Лунному календарю стрижек — 4 января 2019 г благоприятный день для стрижки волос.
- Луна в Козероге — удобный момент для визита в салон красоты, особенно при проблемных волосах посещение мастера пройдет максимально комфортно и удачно (сечение и ломкость прекратятся, тусклость исчезнет).
- 29 лунные сутки – неблагоприятный день для стрижки, перемены во внешнем виде принесут встречу с каким-либо несчастьем.
- Убывающая Луна — Стричься в период, когда Луна пошла на убыль можно тем, кто не заинтересован в росте волос, зато укрепляются их корни.
Хотите кардинально поменять имидж — дерзайте, пробуйте. Даже если что то пойдет не так — краска сойдет быстро.
Нейтральный день для любых стрижек
- Луна в Козероге. благоприятный день для стрижки волос, а также смены прически. Волосы быстро растут, не секутся, укрепляются по всей длине.
- 1, 2 лунный день — смена прически обернется неприятными последствиями, конфликтами и разбирательствами.
- Новолуние — новолуние негативно сказывается на организме и крайне нежелательно для стрижки. Если избежать других манипуляций с волосами нельзя, то используйте только препараты с натуральным составом. Категорически не рекомендуется стричь волосы.
Лунный календарь стрижек предупреждает — новолуние неблагоприятный период для стрижки волос.
- Луна в Водолее — неблагоприятный день для стрижки волос, велик шанс быстрого облысения и сильного выпадения волос.
- 3 лунный день — неблагоприятный день для стрижки волос, посещение парикмахерской повысит вероятность ухудшения состояния здоровья в целом и бесполезных финансовых затрат.
- Растущая Луна оказывает благотворное действие на волосы при окрашивании и стрижке. Удачное время для проведения оздоравливающих процедур. Краска ложится ровно и надолго.
Не самый удачный день для обновления прически.
- Луна в Водолее — стрижка поможет только тем, чьи волосы медленно растут, поскольку их рост заметно ускоряется. А вот обладателям поврежденных волос надеяться не на что, на оздоровление локонов стрижка не повлияет.
- 4 лунный день – смена имиджа доставит дискомфорт, душевные переживания и страхи, спровоцирует болезни горла.
- Растущая Луна — этот период способствует быстрому отрастанию волос после стрижки. Следует быть предельно осторожным при окрашивании: нанесенный цвет будет долго держаться на прядях. В эту пору лучше всего проводить укрепление волос, чтобы значительно улучшить их вид.
Нейтральный день для любых стрижек
- Луна в знаке Водолея.
неблагоприятный день для посещения парикмахерской, стрижка может сильно навредить внешнему виду: вызвать выпадение волос и даже привести к облысению. - 5 лунный день — благоприятный день для стрижки волос, привлечение богатства и благосостояния.
- Растущая Луна. подстригите локоны именно в этот день, чтобы они быстрее отрастали, их корни стали крепче, а состояние заметно преобразилось.
В целом это хороший день для посещения парикмахерской.
- Луна в Рыбах — неблагоприятный день для стрижки волос, равно как и мытье головы, увеличивает сухость кожных покровов и приводит к возникновению перхоти.
- 6 лунные сутки считаются неблагоприятным днем для обновления прически – возрастает шанс развития простудных заболеваний, наблюдается значительный упадок сил, ухудшению самочувствия и внешнего вида.
- Растущая Луна — благоприятные дни для стрижки волос, окрашивания и ухаживающих процедур.
Краска не будет долго смываться, волосы будут быстро расти.
Не самый удачный день для обновления прически.
- Луна в Рыбах — при манипуляциях с волосами, причем не важно, стрижка это или обычное мытье, щедро одарит хозяина шевелюры «рыбьей чешуей» (себореей и перхотью).
- 7 лунный день – поход к стилисту вызовет ссоры и конфликты, в том числе с начальством и любимым человеком; укорачивание волос может серьезно навредить здоровью.
- Растущая Луна — ускорить рост волос поможет визит к парикмахеру во время растущей Луны, однако не следует проводить серьезные эксперименты со сменой цвета, поскольку нанесенный тон будет держаться в течение длительного времени. Это благоприятный период для осуществления процедур по укреплению волос.
Не самый удачный день для обновления прически.
- Луна в Овне — несмотря на то, что стрижка волос в это время не повлияет на состояние локонов и не испортит прическу, лучше ее не делать.
Это может привести к ослаблению иммунной системы, что поспособствует развитию недугов. - 8 лунные сутки — благоприятный день для стрижки волос — улучшится здоровье, долголетие, позитивный настрой и уважение окружающих вас людей.
- Растущая Луна — рекомендуется стричь волосы, когда Луна находится в фазе роста — это поможет укрепить волосяные луковицы и приведет к более быстрому росту волос.
В целом это хороший день для посещения парикмахерской.
- Луна в Овне — стричь волосы нежелательно, это может оказать негативное воздействие на внешний вид и структуру волос и стать причиной ухудшения работы иммунной системы, и, как следствие, увеличивается риск возникновения заболеваний.
- 9 лунный день — неблагоприятный день — стрижка повышает шанс возникновения и развития различных заболеваний.
- Растущая Луна — в период растущей Луны рекомендуется стричь волосы и окрашивать их в привычные оттенки — после проведения процедуры рост волос ускорится, а новый цвет долгое время не потеряет своей яркости.
Это подходящее время для проведения лечебных процедур по восстановлению структуры волосяного покрова.
Не самый удачный день для обновления прически.
- Луна в Овне не самый хороший день для стрижки волос. Хотя их здоровье от этого и не пострадает, зато общее состояние организма ослабнет, что приведет к риску заболеваний и снижению иммунной системы.
- 9, 10 лунный день – посещение парикмахерской может спровоцировать развитие различных заболеваний.
- Растущая Луна — провоцирует волосы на интенсивный рост и укрепление их здоровья. Если стричь волосы в это время идея удачная, то с покраской будьте осторожны — тон ляжет на локоны надолго, выбирайте только проверенные и привычные оттенки.
Не самый удачный день для обновления прически.
- Луна в Тельце. идеальное время записаться в салон красоты, чтобы преобразить прическу.
- 10 лунный день — плохое время время для стрижки, могут появиться новые и обострятся старые заболевания.

- Растущая Луна — благоприятное время для любых стрижек. Можно проводить любые оздоравливающие процедуры. Хотите здоровые и крепкие локоны — поспешите в парикмахерскую.
В целом это хороший день для посещения парикмахерской.
- Луна в Тельце — очень благоприятный период для записи к стилисту с целью изменить привычную прическу, длину волос и цвет. Локоны после срезания начинают расти быстрее, их строение улучшается.
- 11 лунный день — стрижка волос поможет усилить проницательность, прояснит разум для принятия важных решений.
- Растущая Луна оказывает благотворное действие на волосы при окрашивании и стрижке. Удачное время для проведения оздоравливающих процедур. Краска ложится ровно и надолго.
По Лунному календарю стрижек — 16 января 2019 г один из самых благоприятных дней для стрижки волос в этом месяце.
- Луна в Близнецах не несет существенных изменений в состояние волос, но благотворно отражается на их росте и создании причесок.

- 12 лунный день – категорически не подходит для того, чтобы стричь волосы, поскольку в жизнь будут привлечены большие неудачи, увеличиваются шансы получить серьезные травмы.
- Растущая Луна — этот период способствует быстрому отрастанию волос после стрижки. Следует быть предельно осторожным при окрашивании: нанесенный цвет будет долго держаться на прядях. В эту пору лучше всего проводить укрепление волос, чтобы значительно улучшить их вид.
Нейтральный день для любых стрижек
- Луна в Близнецах. в это время рекомендуется стричь волосы тем, кто хочет поэкспериментировать с длиной локонов: в этот период волосы быстро отрастут и при этом не поменяют своей структуры.
- 13 лунные сутки — благоприятный день, используйте его для обновления своего образа. Это принесет удачу и освежит внешний вид.
- Растущая Луна. подстригите локоны именно в этот день, чтобы они быстрее отрастали, их корни стали крепче, а состояние заметно преобразилось.

По Лунному календарю стрижек — 18 января 2019 г благоприятный день для стрижки волос.
- Рак — не стоит ходить в парикмахерскую. Сформировать прическу будет затруднительно, поскольку волосы практически не поддаются укладке, даже с помощью профессиональных средств.
- 14 лунный день — изменение прически поспособствует успеху в делах и увеличению финансовых доходов, вызовет расположение руководителя.
- Растущая Луна — благоприятные дни для стрижки волос, окрашивания и ухаживающих процедур. Краска не будет долго смываться, волосы будут быстро расти.
В целом это хороший день для посещения парикмахерской.
- Луна в Раке — неблагоприятное время для стрижки волос, они становятся непослушными, мытье не приносит желанной свежести, создание прически становится мучением для обладательниц любого типа волос.
- 15 лунные сутки – лучше отказаться от стрижки локонов, поскольку увеличивается вероятность возникновения болей в голове, высокого давления и чувства страха.

- Растущая Луна — ускорить рост волос поможет визит к парикмахеру во время растущей Луны, однако не следует проводить серьезные эксперименты со сменой цвета, поскольку нанесенный тон будет держаться в течение длительного времени. Это благоприятный период для осуществления процедур по укреплению волос.
Не самый удачный день для обновления прически.
- Луна во Льве. Благоприятный день для изменения имиджа: подстриженные волосы будут выглядеть ухоженно и очень красиво. Если нужно изменить образ жизни, то такое положение Луны лучше всего подходит для стрижки.
- 16 лунный день — очень неудачный день чтобы стричь волосы. Потеря контроля над вредными привычками, риск неудач, ошибок, измен и болезней.
- Полнолуние — самым благоприятным периодом для кардинальной смены образа и любых стрижек является Полнолуние. Стрижка волос улучшит состояние здоровья и избавит от скопившихся негативных эмоций.
Кроме того, локоны станут меньше путаться, улучшится их структура и густота. При смене цвета следует отдавать предпочтение тонам, немного темнее натурального оттенка. Полная Луна — это хорошее время для использования специальных средств по уходу за волосами питательного и укрепляющего воздействия.
В целом это хороший день для посещения парикмахерской.
- Лев — при желании сменить имидж или изменить привычный образ жизни, стрижка пойдет на пользу, сделав волосы ухоженными, мягкими и шелковистыми.
- 17 лунные сутки — посещение парикмахерской привлечет проблемы в рабочих делах, возникнут препятствия в достижении желанной цели. Повысится негативное воздействие на психическое состояние и вероятность получения серьезных травм.
- Убывающая Луна — при Убывающей Луне можно смело экспериментировать с цветом, окрашивать локоны в разные оттенки — даже если выбранный цвет не придется по вкусу, нет поводов для беспокойства, поскольку краска не продержится в течение длительного времени.
Стрижка не окажет негативного воздействия на структуру волос, однако значительно замедлит их рост.
Нейтральный день для любых стрижек
- Луна в Деве самый оптимальный период для смены имиджа. Лучше него нет, если вы решились на кардинальные перемены.
- 18 лунные сутки – неблагоприятный день для смены образа, который приведет к кражам, уменьшению собственности, проблемам со здоровьем у близких людей и домашних питомцев.
- Убывающая Луна — стрижка волос в фазе Убывающей Луны способствует укреплению корней и уменьшает выпадение, но в тоже время сильно замедляет рост волос. При покраске разрешены эксперименты с непривычными оттенками — полученный результат продержится не долго.
Нейтральный день для любых стрижек
- Луна в знаке Девы. лучшее время, чтобы постричь волосы и провести процедуры на основе химических ингредиентов. Сюда относятся всевозможные виды окрашивания, химическая завивка.

- 19 лунный день — поспешите к парикмахеру, постричься в этот день, значит, продлить свою жизнь.
- Убывающая Луна — если не любите часто стричь волосы, то ходите в парикмахерскую на убывающей Луне. Здоровья волосам это не прибавит, но отрастать они будут долго.
По Лунному календарю стрижек — 24 января 2019 г один из самых благоприятных дней для стрижки волос в этом месяце.
- Луна в знаке Весы — смена прически дает нейтральный результат и не приводит к кардинальным переменам в жизни человека.
- 20 лунный день — не рекомендуется записываться к парикмахеру – стрижка волос усилит раздражительность, приведет к апатии и упадку сил.
- Убывающая Луна — Стричься в период, когда Луна пошла на убыль можно тем, кто не заинтересован в росте волос, зато укрепляются их корни. Хотите кардинально поменять имидж — дерзайте, пробуйте. Даже если что то пойдет не так — краска сойдет быстро.

Не самый удачный день для обновления прически.
- Луна в Весах — неблагоприятное время для осуществления замыслов по перемене прически. Рвутся космические нити, преследуют неудачи, что провоцирует потерю волос, вплоть до развития алопеции.
- 21 лунный день – новая прическа привлечет благополучие и хороший исход всех дел.
- Убывающая Луна — После стрижки волос на убывающей Луне шевелюра отрастает довольно долго, но в тоже время укрепляются корни волос и предотвращается их выпадение. Краска смывается быстро, поэтому смело ищите новые образы — сейчас самое время.
Нейтральный день для любых стрижек
- Луна в Скорпионе. положение земного спутника на небосклоне может двояко отразиться на судьбе: посещение парикмахера может негативно сказаться на личной жизни, а может существенно улучшить отношения с противоположным полом.
- 22 лунный день – посещение парикмахера сдвинет с мертвой точки дела связанные с недвижимостью, но не исключено, что станете набирать лишний вес.

- Убывающая Луна. стричь волосы рекомендуется только в том случае, если нужно укрепить корни и замедлить рост локонов.
В целом это хороший день для посещения парикмахерской.
- Луна в Скорпионе — самое неоднозначное время, поскольку смена имиджа с одинаковой вероятностью может оказать как положительное, так и отрицательное воздействие на личную жизнь и взаимоотношения с представителями противоположного пола.
- 23 лунный день — визит в салон красоты положительно скажется на благосостоянии, улучшит внешний вид и оживит цвет лица.
- Убывающая Луна — удачное время для проведения экспериментов с цветом шевелюры, поскольку краска быстро смоется. Укорачивание волос сделает их здоровыми, но значительно снизит скорость их роста.
В целом это хороший день для посещения парикмахерской.
- Луна в Скорпионе — Скорпион неоднозначно влияет не только на прическу.
От коварного знака можно ожидать все, что угодно: как удачу в личных делах, так и полный крах. - 24 лунный день – считается очень плохим периодом для стрижки волос, так как из-за этого могут появиться различные заболевания.
- Убывающая Луна — Стрижка на убывающей Луне сделает корни крепкими, остановит выпадение, но и замедлит отрастание волос. В такие дни можно смело проводить эксперименты с окрашиванием локонов, так как краска не будет долго держаться.
Не самый удачный день для обновления прически.
- Луна в Стрельце — хороший день для стрижки, благотворно влияющий на карьерные достижения и взаимоотношения с людьми, но на состояние волос заметного влияния не оказывает.
- 25 лунный день – стрижка очень негативно повлияет на глаза, возможно повышение давления, ослабление остроты зрения, обострение или возникновение глазных патологий.
- Убывающая Луна — визит в салон красоты во время Убывающей Луны значительно замедлит рост волос, однако приведет к укреплению волосяной луковицы.

Нейтральный день для любых стрижек
- Луна в Стрельце — изменение образа поможет реализоваться во всех начинаниях, будет способствовать успеху в рабочих делах, отношениях с коллегами и близкими людьми, но на состояние волос заметного влияния не оказывает.
- 26 лунные сутки — благоприятный день для стрижки, визит к парикмахеру станет причиной радостных и счастливых событий в вашей жизни.
- Убывающая Луна — при Убывающей Луне можно смело экспериментировать с цветом, окрашивать локоны в разные оттенки — даже если выбранный цвет не придется по вкусу, нет поводов для беспокойства, поскольку краска не продержится в течение длительного времени. Стрижка не окажет негативного воздействия на структуру волос, однако значительно замедлит их рост.
По Лунному календарю стрижек — 31 января 2019 г благоприятный день для стрижки волос.
Календарь стрижек на февраль 2019 года
Календарь стрижек на март 2019 года
Календарь стрижек на апрель 2019 года
Сохранить и поделиться
Лунный календарь стрижек на январь 2019
Астрологи утверждают, что Жёлтая Земляная Свинья, под знаком которой проходит 2019 год, обожает яркие цвета, смелые решения и радикальные перемены.
Так ли это, ручаться не станем, однако повод выбрать себе новый образ или хотя бы основательно освежить старый есть. А чтобы волосы приняли грядущие перемены легко, совершайте все манипуляции с ними, ориентируясь на подсказки лунного календаря стрижек на январь 2019.
Благоприятные и неудачные даты
В январе всего 3 дня, когда категорически запрещено стричься по лунному календарюЕсли времени для изучения полной раскладки по дням у вас нет, то вот список самых благоприятных дней для стрижки в этом месяце:
- 5 января,
- 7 января,
- 9 января,
- 15–17 января,
- 21 января,
- 23 января,
- 26 января.
- 4 января,
- 20 января,
- 27 января.
Прочие даты нейтральны, однако на каждую из них есть свои особые рекомендации, поэтому уделите минутку, чтобы подобрать идеальное время для ухода за волосами.
Полный лунный календарь стрижек на январь 2019 года по дням
- Дата: 1 января Лунный день: 24–25 Фаза: убывающая луна Знак зодиака: Скорпион
Не рекомендованы ни стрижка, ни завивка, ни окрашивание в принципиально новые цвета: краска не продержится долго, а срезанные под знаком неделикатного Скорпиона волосы станут жёсткими и непослушными, хотя слабым прядкам контакт с ножницами может пойти на пользу. Разрешено использование натуральных красителей, а косметические маски и травяные ополаскивания наделены особой целительной силой — не упустите момент. Чтобы лишний раз не травмировать локоны сложной укладкой, спрячьте их под широкой повязкой или другим головным убором.
Зимой прядкам так нужны ваши тепло и забота!- Дата: 2 января Лунный день: 25–26 Фаза: убывающая луна Знак зодиака: Скорпион
Если не желаете вносить в свой образ беспорядок, а в эмоции разлад, воздержитесь сегодня от стрижки и окрашивания.
Куда более благосклонно шевелюра примет оттеночные шампуни, подчёркивающие естественный цвет волос, и высоко взбитые (но без лишней вычурности) причёски. Впрочем, есть мнение, что встреча с ножницами в этот день повлечёт за собой перемены в жизни. Считаете, что застоялись на месте — дерзайте.
- Дата: 3 января Лунный день: 26–27 Фаза: убывающая Знак зодиака: Стрелец
До полудня с посещением салона красоты стоит повременить. Новшества, внесённые во внешность в первой половине дня, обещают стать нестабильными: новый цвет потускнеет, завивка разовьётся, остриженные волосы отрастут быстро и неравномерно. Зато после 12:00 любые действия с локонами сулят превосходный результат, а заодно и рост самооценки. Укладку сделайте простой и лаконичной.
- Дата: 4 января Лунный день: 27–28 Фаза: убывающая луна Знак зодиака: Стрелец
Спорный день. С одной стороны, позитивный настрой и проверенный мастер, хорошо знакомый с нравом ваших волос, могут создать истинный шедевр.
С другой, барышни, севшие в кресло парикмахера в дурном настроении, почти гарантированно получат неряшливую стрижку и держащуюся на честном слове завивку. А вот небольшое изменение цвета на 2–3 тона и гладкие причёски без лишних деталей только приветствуется.
- Дата: 5 января Лунный день: 28–29 Фаза: убывающая луна Знак зодиака: Козерог
Волосы можно стричь как угодно коротко, сегодня это действо обещает оздоровить и укрепить их. Смело выбирайте завивку, примеряйте новые цвета, маскируйте седину, а если ничего подобного не планируете, сделайте глиняную маску для волос или посидите в парной: на убывающей Луне все очистительные процедуры пройдут на ура. Причёске не помешает скромный, но стильный аксессуар.
Выглядеть роскошно можно, невзирая на снег и холод- Дата: 6 января Лунный день: 29–1–2 Фаза:новолуние Знак зодиака: Козерог
Новолуние считается неблагоприятным периодом для экспериментов с волосами, но благотворное влияние Козерога и 2 лунного дня смягчат настроение кудрей.
Можете подстричься или подровнять кончики, чтобы прекратить сечение волос; сделать завивку, всласть поэкспериментировать с укладкой. Не запрещено прибегать и к окрашиванию или маскировке седых волос, но лишь с использованием натуральных красителей.
- Дата: 7 января Лунный день: 2–3 Фаза: растущая луна Зодиак: Водолей
Продолжается время экспериментов и проб. Забудьте о скучных гладких укладках, встретьте эту неделю, соорудив на голове что-нибудь «эдакое», о чём давно мечтали. Стрижка сделает волосы живыми и сильными, однако, по расчётам астрологов, может сподвигнуть вас на бездумные траты. Чтобы сохранить душевное спокойствие и придать локонам блеск, посвятите вечер долгому медитативному расчёсыванию волос. В окрашивании по-прежнему в фаворе натуральные хна, басма, кора дуба, ромашка, корица.
- Дата: 8 января Лунный день: 3–4 Фаза: растущая луна Зодиак: Водолей
Если непременно хотите попасть к парикмахеру, постарайтесь успеть до 10:17 утра — в это время ещё продолжаются 3 лунные сутки, благоприятные для обновления имиджа.
Однако после «часа Х» придётся попридержать свою жажду перемен. Уместно будет только мягкое обновление цвета и очищающие процедуры — к примеру, солевой или кофейный пилинг кожи головы. Чтобы не перегружать пряди укладочными средствами, сделайте максимально простую причёску.
- Дата: 9 января Лунный день: 4–5 Фаза: растущая луна Зодиак: Водолей
Желаете обзавестись новым оттенком или изменить длину волос? Пользуйтесь моментом, в 11:43 наступают 5 лунные сутки, давая зелёный свет стрижкам, укладкам и переменам цвета. Единственное что едва ли пойдёт на пользу локонам, это тесное общение с химическим красителем, всё остальное — на ваше усмотрение. Для привлечения в свою жизнь удачи снабдите причёску дополнительным объёмом с помощью утюжка-гофре или начёса.
- Дата: 10 января Лунный день: 5–6 Фаза: растущая луна Зодиак: Рыбы
Рыбы слывут ярыми противницами перемен, связанных с волосами.
Дабы избежать ломкости, сухости и перхоти, лучше дать им отдых. Зато уместны будут восстанавливающие маски с желтками, мёдом и соком алоэ, аккуратный массаж головы кончиками пальцев, смоченных в тёплом косметическом масле, расчёсывание деревянным гребнем. Укладка предпочтительна максимально простая.
- Дата: 11 января Лунный день: 6–7 Фаза: растущая луна Знак зодиака: Рыбы
Дайте капризным Рыбам время уйти с небосвода, уступая власть Овну, и после 11:21 принимайтесь творить. Стрижка или коррекция причёски заставят волосы ожить и задышать, попутно обострив вашу интуицию. Обновлённый цвет подарит повышенную привлекательность в глазах противоположного пола. Но особенно звёздный барашек благоволит кудряшкам, которые усилят вашу связь с природой и вольют в тело новые силы. И позабудьте о тугих пучках и плетениях, кредо дня – «свобода во всём!»
- Дата: 12 января Лунный день: 7–8 Фаза: растущая луна Зодиак: Овен
Спрячьте ножницы и краску для волос подальше в шкафчик, сегодня они вам не понадобятся.
Желаете оказать шевелюре услугу, запишитесь на массаж головы, это укрепит корни и ускорит рост волос. Ну а если нестерпимо хочется внести новую нотку в образ, вооружитесь тюбиком тонирующего средства (только не слишком яркого, сегодня у Луны в фаворе спокойные цвета) и заставьте прядки заиграть новым оттенком. Вьющиеся локоны по-прежнему находятся под покровительством Овна, но не стоит давать им слишком большую волю: зафиксируйте укладку воском или спреем.
- Дата: 13 января Лунный день: 8–9 Фаза: растущая луна Зодиак: Овен
Стрижка, сделанная после 11:37, взбодрит и локоны, и ваш дух, но слегка ослабит иммунитет, поэтому будьте внимательнее к своему здоровью. Окрашивание в цвета, близкие к естественному, защитит от негатива окружающих; высокая, но скромная причёска поможет сконцентрироваться на решении предстоящих задач; мягкие очищающие процедуры (ковошинг, сладкий пилинг из смеси сахарного песка с шампунем) освободят кожу головы от отмерших чешуек, а вас — от негативных мыслей.
- Дата: 14 января Лунный день: 9–10 Фаза: растущая луна Зодиак: Овен
Стрижка на растущую Луну укрепит здоровье прядей, но только в том случае, если визит к мастеру будет назначен на вторую половину дня. «Смену масти» звёзды не запрещают, главное — отдавать предпочтение красителям без лишней химии. Попробуйте сделать причёску из свободно распущенных по плечам волос, но не забудьте обработать их укладочным средством: чрезмерных вольностей или беспорядка Телец, заступивший на небесную вахту в 12:08, не одобрит.
- Дата: 15 января Лунный день: 10–11 Фаза: растущая луна Зодиак: Телец
Окончательно обосновавшийся на звёздном троне Телец благоволит косметическим процедурам с любой растительностью на голове. Сделайте коррекцию бровей, укрепите ресницы касторовым маслом и, конечно, всерьёз займитесь шевелюрой. Стрижка волос обеспечит им приятную густоту и силу, окрашивание привлечёт симпатии окружающих, опрятная причёска заставит начальство увидеть в вас перспективного сотрудника.
Рекомендованы питательные и увлажняющие маски для волос, массажи.
- Дата: 16 января Лунный день: 11–12 Фаза: растущая луна Зодиак: Телец
Решиться на стрижку или окрашивание в этот день стоит по двум причинам. Первая — локоны станут послушнее и быстрее пойдут в рост, а выбранный цвет долго прослужит верой и правдой. Вторая — считается, что встреча с ножницами и краской под знаком уходящего Тельца способна развернуть в нужную сторону финансовые потоки, наполнив ваш кошелёк приятно похрустывающими бумажками. Если же с материальной сферой у вас полный порядок, уложите волосы в оригинальную броскую причёску — велик шанс, что сегодня она заставит будущую половинку обратить на вас внимание.
- Дата: 17 января Лунный день: 12–13 Фаза: растущая луна Зодиак: Близнецы
Растущая луна не препятствует стрижке, которая сегодня способна улучшить состояние не только волос, но и нервной системы.
Однако Близнецы могут слегка подпортить результат, сделав пряди непослушными, пушащимися и слегка вьющимися. Используйте это себе во благо и запишитесь на завивку или пройдитесь по локонам плойкой. А вот с окрашиванием лучше успеть до 14:14, чтобы не оказаться в кресле у мастера на 13 лунные сутки, неблагоприятные для игр с цветом.
- Дата: 18 января Лунный день: 13–14 Фаза: растущая луна Зодиак: Близнецы
Нейтральный день. Радикальные перемены внешности едва ли принесут вам удовлетворение, но мелкая коррекция, тонирование и завивка без применения химических средств наверняка порадуют. Посетите парную, чтобы очистить поры кожи головы, сделайте скраб из молотых овсяных хлопьев с мёдом, проведите сеанс массажа. Причёска должна быть простой, без утяжеляющих волосы заколок и прочих аксессуаров.
- Дата: 19 января Лунный день: 14–15 Фаза: растущая луна Зодиак: Рак
Расчехляйте утюжки! Чтобы понравиться серьёзно настроенному Раку, от легкомысленных кудряшек придётся избавиться, а вытянутые до полной гладкости волосы расчесать на прямой пробор.
Допускается затемнение цвета без химических красителей. Стрижка, в целом, нежелательна, так как она может сделать волосы грубыми и непокорными, однако барышням, желающим положить конец затянувшимся бесперспективным отношениям имеет смысл нанести визит своему мастеру — в этот день его ножницы способны избавить вас не только от секущихся кончиков, но и от другого балласта в жизни.
- Дата: 20 января Лунный день: 15–16 Фаза: растущая луна Зодиак: Рак
День непригоден для стрижки. Сосредоточьтесь на окрашивании, выбирая тёплые тёмные тона: шоколад, орех, бордо — они помогут достичь душевного покоя и уверенности в своих силах. Чтобы зарядиться энергией, вытяните волосы утюжком и завяжите их в высокий пучок или конский хвост.
Как ни странно, стричься на Рака не рекомендуется- Дата: 21 января Лунный день: 16–17 Фаза: полнолуние Зодиак: Лев
Лев откровенно симпатизирует парикмахерскому искусству и обычно не препятствует воплощению в жизнь самых смелых идей.
Однако усиленное полнолунием влияние царя зверей может привести к непредсказуемым результатам — например, одарить вас облаком тугих торчащих в разные стороны «пружинок» вместо умеренной завивки, поэтому будьте осмотрительны в своих поисках стиля. Окрашивание разрешено и даже приветствуется, если ваш выбор падёт на «львиные» цвета: рыжий, янтарь, светлый каштан.
- Дата: 22 января Лунный день: 17–18 Фаза: убывающая луна Зодиак: Лев
Стрижка на убывающую Луну заставит волосы расти медленнее, зато сохранит их здоровыми и сильными. Химическая завивка продержится долго — возможно, даже слишком, так что успеет вам основательно надоесть. В плане окраски наиболее удачным станет выбор цвета, который вы уже носили однажды и остались им довольны. Заручитесь энергией Солнца и Ветра, повязав голову косынкой радостной жёлто-красной расцветки и выпустив на волю чёлку.
- Дата: 23 января Лунный день: 18–19 Фаза: убывающая луна Зодиак: Дева
Вплоть до 19:54 пока состояние вашей шевелюры будет находиться в мягких, но уверенных львиных лапах, можно делать стрижки и окрашивания любой сложности.
Укладка сохранит форму, замаскированная седина долгое время не напомнит о себе, цвета не поблёкнут. Эффективны процедуры, направленные на укрепление и питание волос, в частности, маски с кисломолочными продуктами, фруктовой мякотью, мёдом.
- Дата: 24 января Лунный день: 19–20 Фаза: убывающая луна Зодиак: Дева
Всякая стрижка в это день сопряжена с риском подорвать здоровье кудрей и своё собственное, а изменение цвета с использованием химических красителей ослабит не только ваши локоны, но и позиции в борьбе с конкурентами. Верните себе расположение шевелюры, сделав успокаивающую маску из тёплого масла, ополоснув волосы крепким отваром зверобоя и тщательно расчесав их массажной щёткой.
- Дата: 25 января Лунный день: 20–21 Фаза: убывающая луна Зодиак: Весы
Убеждённая сторонница естественной красоты, Дева говорит твёрдое «Да» стрижке и всячески противится окрашиванию. Возможно, обрезанные пряди станут слегка пушиться, но в целом их состояние вас порадует и настроит на позитив; воздержаться следует, пожалуй, только от экстремально коротких стрижек: волосы отрастают очень медленно и исправить ситуацию, если результат вас не удовлетворит, удастся нескоро.
- Дата: 26 января Лунный день: 21 Фаза: убывающая луна Зодиак: Весы
Если на сегодня у вас запланирован визит к стоматологу, стрижка попадает под запрет. Для окрашивания выбирайте светлые цвета, они привлекут к вам нужных людей. Сооружайте укладки без лишних затей, а если захочется сделать причёску интереснее, подберите красивое металлическое украшение.
- Дата: 27 января Лунный день: 21–22 Фаза: убывающая луна Зодиак: Скорпион
Волосы, попавшие сегодня под лезвия ножниц, могут стать слишком строптивыми и плохо укладываться в причёску. Что касается прочих процедур с шевелюрой, то суровый Скорпион не одобряет ни завивки, ни окрашивания в слишком броские, далёкие от естественного тона — и то, и другое, скорее всего, пройдёт неудачно. Чтобы задобрить угрюмое членистоногое, гладко зачешите волосы и соберите их на затылке в низкий хвост или нетугую «гульку».
- Дата: 28 января Лунный день: 22–23 Фаза: убывающая луна Зодиак: Скорпион
Стрижка может навредить волосам и внести разногласия в отношения с близкими людьми, откажитесь от посещения парикмахерской. Окрашивание допустимо, но лишь при условии, что с ним поможет искренне привязанный к вам человек: под знаком Скорпиона доверить свои волосы можно лишь любящим рукам. Химическая завивка по-прежнему у Луны не в чести, но мягкие волны, накрученные на щипцы, будут уместны.
- Дата: 29 января Лунный день: 23–24 Фаза: убывающая луна Зодиак: Скорпион
Если вы довольны своей жизнью, длину волос лучше оставить без изменений — стрижка может повлечь за собою события, которые не обязательно окажутся приятными. Сосредоточьтесь на выборе цвета и формы: к примеру, тем, кто устраивается на новое место или хочет проявить себя перед начальством, рекомендованы тёмные спокойные тона; а если чувствуете потребность поднять уровень жизненной энергии, сделайте объёмную укладку.
- Дата: 30 января Лунный день: 24–25 Фаза: убывающая луна Зодиак: Стрелец
День отдыха для волос. Никаких ножниц, краски и укладочных средств, только массажная щётка и головной убор, который позволит держать шевелюру в порядке и защитит её от негативных влияний.
- Дата: 31 января Лунный день: 25–26 Фаза: убывающая луна Зодиак: Стрелец

Стрижка волос по лунному календарю на январь 2019
Лунный календарь стрижек волос на январь 2019 года поможет каждому выбрать оптимальный день для ухода за своими волосами в течение всего лунного месяца. Стрижка для девушки играет важную роль, а Луна влияет на биологические процессы в организме человека. Каждый желающий может воспользоваться лунным календарем и решить, в какой день ему стоит совершить визит в парикмахерскую.
Когда лучше стричь волосы
Чтобы стрижка получилась красивой и вызвала улыбку на лице, нужно знать о днях, в которые рекомендуется осуществить визит к парикмахеру. Ниже представлена таблица, в ней можно посмотреть день недели, Луну в знаке зодиака и ее фазу. Согласно приведенным данным, любая девушка может выбрать день, когда ей лучше стричь волосы.
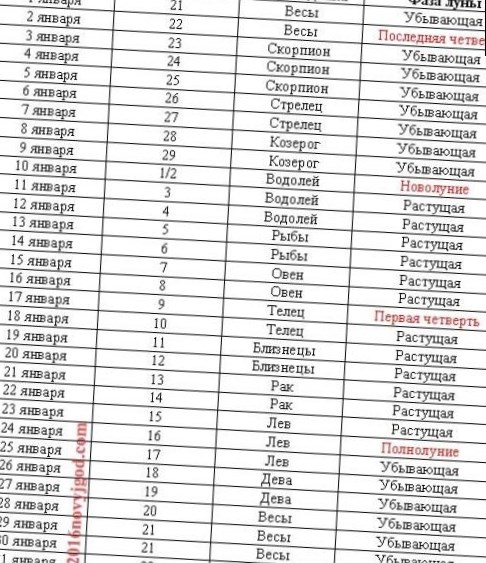
| День недели | Фаза Луны | Луна в знаке Зодиака |
| 1.01.19, вторник | Убывающая | Скорпион |
2. 01.19, среда | Убывающая | Скорпион и Стрелец |
| 3.01.19, четверг | Убывающая | Стрелец |
| 4.01.19, пятница | Убывающая | Стрелец и Козерог |
| 5.01.19, суббота | Убывающая | Козерог |
| 6.01.19, воскресенье | Новолуние | Козерог |
| 7.01.19, понедельник | Растущая | Козерог и Водолей |
| 8.01.19, вторник | Растущая | Водолей |
| 9.01.19, среда | Растущая | Водолей и Рыбы |
| 10.01.19, четверг | Растущая | Рыбы |
| 11.01.19, пятница | Растущая | Рыбы |
| 12.01.19, суббота | Растущая | Рыбы и Овен |
| 13.01.19, воскресенье | Растущая | Овен |
| 14.01.19, понедельник | Растущая | Овен и Телец |
| 15.01.19, вторник | Растущая | Телец |
16.01. 19, среда | Растущая | Телец |
| 17.01.19, четверг | Растущая | Телец и Близнецы |
| 18.01.19, пятница | Растущая | Близнецы |
| 19.01.19, суббота | Растущая | Близнецы и Рак |
| 20.01.19, воскресенье | Растущая | Рак |
| 21.01.19, понедельник | Полнолуние | Рак и Лев |
| 22.01.19, вторник | Убывающая | Лев |
| 23.01.19, среда | Убывающая | Лев и Дева |
| 24.01.19, четверг | Убывающая | Дева |
| 25.01.19, пятница | Убывающая | Дева и Весы |
| 26.01.19, суббота | Убывающая | Весы |
| 27.01.19, воскресенье | Убывающая | Весы и Скорпион |
| 28.01.19, понедельник | Убывающая | Скорпион |
| 29.01.19, вторник | Убывающая | Скорпион и Стрелец |
30. 01.19, среда | Убывающая | Стрелец |
| 31.01.19, четверг | Убывающая | Стрелец |
1 января, вторник
В этот день нужно полностью сосредоточиться на себе и отношениях с семьей. Визит в парикмахерскую лучше отложить, любое изменение способно привести к проблемам со здоровьем. Заниматься окрашиванием локонов нежелательно, эта процедура может привести к расставанию с близким человеком и конфликтам с друзьями.
2 января, среда
С любыми начинаниями нужно быть осторожным, день преподнесет много негативной энергии. Лучше отложить визит к парикмахеру на другое время, изменение негативно скажется на общем состоянии организма. Астрологи разрешают сделать окрашивание волос и провести оздоровительные процедуры.
3 января, четверг
Этот день благоприятствует проведению перемен над собой. Волосы станут расти лучше, появится естественный здоровый блеск, и корни станут крепче. Локоны можно окрашивать, тонировать – изменения пойдут на пользу.
4 января, пятница
28-е лунные сутки – это день гармонии. Любое изменение в образе принесет разочарования и расстройства. Укорачивать волосы не рекомендуется, но зато разрешается проводить другие процедуры, связанные с мелированием.
5 января, суббота
В этот день Луна находится в Козероге. Это значит, что на 29-е лунные сутки нужно избавляться от всего лишнего. Вместе с новой стрижкой часть негативной энергетики тоже уйдет. Новый образ приятно удивит родственников и близких друзей, дела на работе пойдут в гору. Не следует заниматься окрашиванием, так как можно настроить окружение против себя.
6 января, воскресенье
Этот день лучше провести в спокойной обстановке. Не стоит загружать себя большим количеством дел. Визит в парикмахерскую может привести к полной катастрофе, стрижка выйдет неудачной, и локоны станут ломкими. В качестве исключения можно сделать укладку волос, но другие изменения строго запрещены.
7 января, понедельник
Сегодня астрологи советуют остаться дома и составить перечень дел на ближайшее время.
В эти лунные сутки очень мощная позитивная энергетика, визит к парикмахеру стоит отложить. Согласно гороскопу, нужно заплести волосы в косу, можно сделать окрашивание.
8 января, вторник
В этот день необходимо провести как можно больше изменений над собой. Стрижка не только создаст яркий и колоритный образ, но и поднимет настроение. Можно сделать новую укладку и окрашивание.
9 января, среда
Сегодня будет большой прилив отрицательной энергии. Любые изменения с волосами нежелательны. Согласно предсказанию Оракула, можно сделать маску для волос, но только с условием использования натуральных средств.
10 января, четверг
В четвертый лунный день настроение будет постоянно меняться. Возникнет сильное желание изменить свою прическу, но делать этого не стоит. Волосы станут неаккуратными, неухоженными, потеряют часть своей силы и энергии. Запрещается окрашивать корни волос и делать завивку.
11 января, пятница
Пятый лунный день благоприятствует изменениям.
Астрологи советуют пойти к парикмахеру, так как любые начатые дела пойдут на пользу человеку. Новая прическа сделает внешний вид привлекательнее, волосы станут пышнее и ухоженнее. С локонами можно экспериментировать – делать необычные прически, менять цвет волос, создавать необычные укладки.
12 января, суббота
День желательно начать с продуктивной и эффективной работы. С волосами лучше не экспериментировать. Поход к мастеру разрушит энергетическое поле вокруг человека, волосы после стрижки станут ломкими и сухими. Общее состояние организма ухудшится. Окрашивание также нежелательно.
13 января, воскресенье
Стричься в этот день не рекомендуется. Волосы после визита к мастеру утратят блеск и пышность, станут тусклыми. Чтобы улучшить состояние организма, прическу лучше сделать простой, без излишнего изящества и фарса.
14 января, понедельник
Нейтральный день. Луна находится в Овне и Тельце, энергетика в этот день слабая, с волосами можно проводить эксперименты. Рекомендуется сделать нестандартную прическу, это поспособствует новым переменам в жизни, которые приведут к превосходным результатам в будущем.
15 января, вторник
Согласно лунному календарю стрижек на январь 2019 года, вторник середины месяца отлично подходит для посещения мастера. Локоны станут здоровее и насыщеннее в цвете. Окраску делать не желательно, так как она продержится не долгое время.
16 января, среда
Нейтральный день, но астрологи рекомендуют остаться дома и выполнить домашние дела. Можно сделать окрашивание волос, предпочтение стоит отдать светлым тонам. Это улучшит общее состояние организма и повысит удачу на предстоящий день.
17 января, четверг
День хорошо подходит для наведения порядка в доме. Визит к парикмахеру стоит отложить на благоприятный день, рекомендуется поэкспериментировать с укладкой волос. Можно покрасить локоны в необычный цвет.
18 января, пятница
День благоприятствует походу к мастеру. Предпочтение лучше отдать классической стрижке. Если прическа получится удачная, ты высока вероятность завести полезное знакомство. Можно покрасить локоны.
19 января, суббота
Стрижка в 12-е лунные сутки будет не лучшим решением. В этот день будет приток позитивной энергетики, волосы и весь организм должны впитать эту энергию. В противном случае велик шанс ссоры с родственниками и друзьями.
20 января, воскресенье
В этот день рекомендуется завершить начатые дела, а затем пойти в парикмахерскую и изменить прическу. Новая стрижка и укладка повысят шанс финансового успеха и принесут счастье в дом.
21 января, понедельник
В 21-й лунный период Луна находится в созвездии Льва и Рака. Любые изменения с волосами будут губительны для них. В случае окрашивания эффект будет кратковременный, высок риск развития болезни, общее состояние организма ухудшится. Лучше остаться дома и закончить все рутинные дела.
22 января, вторник
Изменения во внешнем виде могут пагубным образом сказаться на состоянии человека. Есть большая вероятность предательства со стороны близких людей. Можно сделать окрашивание или завивку.
23 января, среда
В этот день поход к мастеру необходим, как никогда ранее. Астрологи уверены, что после стрижки внимания со стороны поклонников будет намного больше, чем раньше. Рекомендуется сделать необычную прическу, чтобы вызвать ажиотаж вокруг своей персоны.
24 января, четверг
В 18-й лунный день изменения во внешнем облике нежелательны. Если срочно необходимо сделать окрашивание или завивку, то это допускается. Однако укорачивать волосы нельзя, это может привести к болезни.
25 января, пятница
Считается, что это день Сатаны. Изменения во внешности лучше отложить, так как велик шанс поругаться с родственниками и друзьями. Самая простая и гармоничная прическа в этот день – распущенные локоны.
26 января, суббота
День будет сопутствовать тем, у кого есть успехи на работе. Но от стрижек нужно отказаться, так как волосы потеряют естественный вид и станут ломкими. От укладок лучше воздержаться.
27 января, воскресенье
Сегодняшний день располагает к созданию нового имиджа. Поход к мастеру приветствуется, стрижка позволит улучшить материальное состояние, поднимет настроение себе и близким людям. После стрижки необходимо провести оздоровительные процедуры.
28 января, понедельник
Согласно легендам, в этот день происходит много ссор и расставаний. В парикмахерскую лучше не ходить, новая прическа принесет только грусть и разочарование. Волосы станут ломкими и потеряют естественный вид.
29 января, вторник
В этот день волосы можно только окрашивать или мелировать. Астрологи рекомендуют остаться дома и провести время с близкими людьми. Можно поэкспериментировать с укладкой волос.
30 января, среда
В предпоследний день месяца Луна находится в созвездии Стрельца. Стричься не стоит, но зато можно покрасить волосы. Особое внимание лучше уделить темным оттенкам.
31 января, четверг
Согласно лунному календарю, день лучше посвятить любимым людям. Поспешные решения приведут к плачевным результатам. Визит к мастеру нужно отложить, все внимание сосредоточить на отношениях с семьей. Нежелательны процедуры окрашивания, так как велик шанс поругаться с любимыми людьми.
Загрузка …Как влияет фаза Луны на стрижку волос и ногтей
Астрологи установили, что фаза Луны напрямую влияет на стрижку волос и ногтей. Ниже будет рассказано о том, как положение Луны оказывает влияние на рост волос человека:
- Новолуние. В период новолуния активность человека снижена, организм подготавливается к новому обновлению. Подстригать волосы и ногти не рекомендуется, так как существует высокая вероятность ослабления иммунитета, что может привести к серьезным проблемам со здоровьем;
- Растущая Луна. Человек находится в состоянии накопления позитивной энергии. Чтобы волосы росли крепкими и здоровыми, астрологи советуют пойти к парикмахеру именно в этот лунный период. Рекомендуется использовать витаминные маски и минеральные элементы для придания волосам пышности и объема;
- Полнолуние. В этот период человек становится особенно уязвимым и раздраженным, так как накопленная энергия достигает предела своих возможностей. В этот период нужно поднять настроение, поэтому поход в парикмахерскую приветствуется;
- Убывающая Луна. Накопленная энергия начинает активно тратиться, поэтому изменения во внешности способны неблагоприятно повлиять на состояние организма. Поход в салон стоит перенести, в этот период важно сохранить позитивную энергетику.
Благоприятные дни для окрашивания волос
Фаза луны напрямую влияет на результат окрашивания волос. Чтобы эффект получился хорошим, нужно знать о благоприятных и неблагоприятных днях.
- Луна в растущей фазе. Считается, что окрашивать волосы нужно только в этот период. Волосы хорошо прокрашиваются и сохраняют свой объем в течение долгого времени, а локоны будут выглядеть здоровее;
- Луна в убывающей фазе. В период убывающей луны об окрашивании лучше забыть. В это время энергетическое поле становится слабее. Если покрасить волосы, то они станут ломкими и тусклыми. Краска принесет вред локонам, химические элементы поранят верхний слой кожи.
Лунный календарь стрижек волос на январь 2019 года составлен на основании прогнозов лучших астрологов. Чтобы волосы были всегда мягкими и шелковистыми, следует воспользоваться вышеприведенными советами. Нужно запомнить, что менять свой внешний вид лучше всего во время растущей фазы луны. Следование этому простому правилу не только положительно повлияет на состояние человека, но и принесет удачу в рабочих и семейных отношениях.
Лунный календарь стрижек на январь 2019
В какие дня января Луна благоприятствует стрижке, окрашиванию волос, и оздоровительным процедурам? Забота о волосах по лунному календарю.
Для женщин важен своевременный уход за стрижкой. Правда, не каждая осведомлена, что оздоровительные процедуры с волосами или телом полезны не всегда. Чтобы не ошибиться в выборе дня, существуют советы за волосами, сформированные с помощью данных лунного календаря. Насколько они действенны, у вас есть возможность проверить самостоятельно. (см. Лунный календарь денег на январь 2019 года)
Календарь ухода за волосами на январь 2019
| Число | Фаза Луны | Луна в знаке | Влияние | Совет |
| 1 | Убывающая | Скорпион | Неблагоприятный | Обратитесь к косметологическим процедурам, позаботьтесь о вашей прическе с помощью натуральных средств, желательно, народных методов |
| 2 | Убывающая | Скорпион | Благоприятный | Подстригите кончики волос. Не сушите волосы феном, иначе столкнетесь с нежелательными проблемами касательно их внешнего вида |
| 3 | Убывающая | Стрелец | Удачный | Сделав стрижку, вы почувствуете освобождение от тяготивших вас мыслей, начнете жизнь с чистого листа |
| 4 | Убывающая | Стрелец | Идеально подходит | Стрижка освободит вас от накопившихся негативных эмоций. |
| 5 | Убывающая | Козерог | Неблагоприятный | Сегодня волосы не готовы к кардинальным переменам, прическа с трудом сохранится. Любая укладка долго держаться не сможет |
| 6 | Новая | Козерог | Неудачный | Посещение парикмахера сегодня не принесет пользы |
| 7 | Растущая | Водолей | Благоприятный | Стрижка принесет свежесть вашим волосам. Они словно избавятся от лишнего груза, обогатятся энергией, станут крепче |
| 8 | Растущая | Водолей | Неблагоприятный | Ломкость и сухость – возможный исход стрижки в этот день. |
| 9 | Растущая | Водолей | Удачный | Сегодня разрешено легкое мелирование, колорирование. Волосы готовы к экспериментам, как и вы |
| 10 | Растущая | Рыбы | Неблагоприятный | Не стоит проводить какие-либо процедуры |
| 11 | Растущая | Рыбы | Неблагоприятный | Нежелательно сегодня делать укладки, завивки, плетения. |
| 12 | Растущая | Овен | Прекрасно подходящий | Сегодня можно смело посетить салон красоты, отличное время не только для стрижки, но и для изменения образа в целом |
| 13 | Растущая | Овен | Неблагоприятный | Не меняйте свою прическу, результат окажется неудовлетворительным. |
| 14 | Первая четверть | Овен | Удачный | Сегодня позволено сделать легкую укладку, подстричь челку. Любая процедура на ваш вкус |
| 15 | Растущая | Телец | Благоприятный | Удачный день для того, чтобы сделать стрижку, волосы уверенно примут столь радикальное изменение и даже окрепнут |
| 16 | Растущая | Телец | Не подходит | Не стоит стричься в этот день. Есть риск, что волосы будут расти проблемными и слабыми |
| 17 | Растущая | Близнецы | Подходящий | Смело отправляйтесь к парикмахеру |
| 18 | Растущая | Близнецы | Удачный | Сейчас – самое время для работы над челкой. Советуем не откладывать ее стрижку «в долгий ящик». Как раз сегодня подстриженная челка не скоро станет беспокоить вас |
| 19 | Растущая | Рак | Неблагоприятный | Предоставьте отдых. Мелирование, колорирование следует отложить. Иначе вам придется справляться с трудностями, связанными с борьбой против сечения волос |
| 20 | Растущая | Рак | Неблагоприятный | Не стоит делать слишком нетипичную для вас стрижку. Просто обрежьте секущиеся кончики. Поверьте, это будет гораздо эффективнее для волос |
| 21 | Полная | Лев | Неудачный | Сегодняшний день можно потратить на уход с помощью бальзамов, специальных шампуней. |
| 22 | Убывающая | Лев | Неблагоприятный | Не стоит стричься сегодня. Нехватка питательных веществ, связанная с фазой Луны в этот период, вынуждает вас потратить время на насыщение волос необходимыми минеральными компонентами |
| 23 | Убывающая | Дева | Благоприятный | Еще один из наиболее подходящих для стрижки дней. Сегодня — любые эксперименты. Стрижка принесет пользу: волосы будут шелковистыми и пышными |
| 24 | Убывающая | Дева | Неудачный | Оставьте любые затеи о стрижке на потом. Останьтесь сегодня с близкими людьми и следите за своим настроением. |
| 25 | Убывающая | Весы | Благоприятный | Колорирование – хороший вариант смены имиджа. |
| 26 | Убывающая | Весы | Подходящий | Не пожалейте денежных средств на качественную краску, если вы собираетесь сменить цвет |
| 27 | Убывающая | Скорпион | Подходящий | Если вы еще сомневаетесь в том, изменить прическу или нет, знайте, что сегодня это принесет не только внешнее преображение, но и внутреннее пробуждение |
| 28 | Третья четверть | Скорпион | Подходящий | Стрижка желательна для состояния самих же волос |
| 29 | Убывающая | Скорпион | Нейтральный | Можно подстричь челку, чего хватит, чтобы почувствовать обновление сил |
| 30 | Убывающая | Стрелец | Неблагоприятный | Не стоит обращаться к парикмахеру. Результат от стрижки, полученной сегодня, может не порадовать вас |
| 31 | Убывающая | Стрелец | Благоприятный | Если вам необходимы перемены в жизни, не беспокойтесь — стрижка сейчас принесет удачу |
10 идеальных дней для стрижки волос в январе 2019 года
Любой женщине необходимо, чтобы волосы оставались послушными, мягкими и шелковистыми. Лунный календарь на январь 2019 года помогает нам выявить такие дни. К ним относятся 2, 4, 27, 14, 15, числа. Стрижка в эти дни улучшит состояние вашей прически, сделает их прочнее и избавит от ломкости. Стрижка 7, 18,25, 28, 31 января поможет вам справиться с секущимися кончиками.
5 самых удачных дней для оздоровительных процедур в январе 2019 года
3,9,13,16,31 января – дни, когда оздоровительные махинации с прической пойдут вам на пользу. В указанные даты результат от потраченного на уход времени вас порадует. Лунный календарь стрижек на февраль 2019Как сохранить свои волосы здоровыми, красивыми и добиться естественного блеска? Как ускорить рост волос и не навредить своему самочувствию?
Обратите внимание, что, например, 4,5,17,20 января волосы не будут способны впитать те вещества, которые содержат различные косметические средства. (см. календарь на 2019 год)
ТОП-5 самых подходящих для окраски волос дней в январе
2,3,4, 9 и 25 января – наиболее подходящие дни для окраски в этом месяце. Если вы не решаетесь сделать давно манящее вас мелирование или колорирование, сейчас можете не переживать. Подобные действия именно в эти дни приведут к нужному вам эффекту. Краска будет держаться в течение довольно долгого времени, ведь они в эти дни особенно подвержены воздействию. Будьте уверены, что выбранный вами цвет нескоро потеряет свой индивидуальный оттенок.
5 самых неблагоприятных дней для стрижки в первом месяце 2019 года
Чтобы не столкнуться с проблемой ломкости и сухости, советуем вам избегать для стрижки 1, 6, 13, 24, 30 января. Есть вероятность, что пренебрежение этой рекомендацией приведет не только к трудностям с прической, но и нежелательным случаям в жизни. Главные традиции еврейского праздника ПуримПочему хотели истребить могущественный и гордый еврейский народ? Как празднуют свое чудесное спасение иудеи, и почему праздник получил такое название?
Опрос
Как часто вы пользуетесь лунным календарем стрижек?
- Постоянно
- Иногда
Также смотрите: Дни официальных выходных с переносами на 2019 год.
( Пока оценок нет )
Лунный календарь стрижек на 2019 год, лучшие дни для стрижки и окрашивания волос
Лунный календарь стрижек на 2019 год, лучшие дни для стрижки и окрашивания волосПодпишитесь на рассылку новостей о благоприятных датах!
Спасибо! Мы отправим вам уведомление прямо перед тем, как наступят благоприятные даты.
Лунный календарь стрижек на 2019 год поможет выбрать лучший день для посещения мастера стрижки в течение любого из 12 месяцев.
Лучшие дни определялись лунным днем и встречей Луны в одном из знаков зодиака.При этом учитывается, что воскресенье — неподходящий день.
Предлагаем список наиболее подходящих дат, когда лучше всего делать стрижку или окрашивание волос, или более подробно изучить желаемый месяц.
Лучшие дни
2 января, среда
27 лунный день
3 января, четверг
28 лунный день
15 января, вторник
11 лунный день
17 января, четверг
, четверг 9000 2 день3 18 января, пятница
14 лунный день
25 января, пятница
21 лунный день
26 января, суббота
22 лунный день
31 января, четверг
26 лунный день
Лучшие дни
февраля , пятница
27 лунный день
2 февраля, суббота
28 лунный день
11 февраля, понедельник
8 лунный день
14 февраля, четверг
11 лунный день
26 февраля
, вторник
день
27 февраля, среда
23 лунный день
Лучшие дни
2 марта, суббота
26 лунный день
4 марта, понедельник
28 лунный день 90 003
13 марта, среда
8 лунный день
18 марта, понедельник
13 лунный день
19 марта, вторник
14 лунный день
26 марта, вторник
21 лунный день
27 марта
22 лунный день
28 марта, четверг
22 лунный день
29 марта, пятница
23 лунный день
Лучшие дни
9 апреля, вторник
5 лунный день
15 апреля 9 апреля, понедельник 11 лунный день
17 апреля, среда
13 лунный день
18 апреля, четверг
14 лунный день
25 апреля, четверг
21 лунный день
26 апреля, пятница
22 лунный день2 апрель, суббота
22 лунный день
Лучшие дни
3 мая, пятница
28 лунный день
11 мая, суббота
8 лунный день
14 мая, вторник
11 лунный день
90 002 16 мая, четверг13 лунный день
24 мая, пятница
21 лунный день
25 мая, суббота
22 лунный день
31 мая, пятница
27 лунный день
Лучшие дни
1 июнь, суббота
28 лунный день
7 июня, пятница
5 лунный день
10 июня, понедельник
8 лунный день
15 июня, суббота
13 лунный день
28 июня
26 июня, пятница
лунный день29 июня, суббота
27 лунный день
Лучшие дни
1 июля, понедельник
28 лунный день
6 июля, суббота
5 лунный день
9 июля, вторник
8 лунный день
12 июля, пятница
11 лунный день
15 июля, понедельник
14 лунный день
27 июля, суббота
26 лунный день
Лучшие дни
10 августа, суббота
11 лунный день2 12 август, понедельник
13 лунный день
13 августа, вторник
14 лунный день
21 августа, среда
22 лунный день
22 августа, четверг
23 лунный день
28 августа 2, 28 августа лунный день
Лучшие дни
6 сентября, пятница
8 лунный день
9 сентября, понедельник
11 лунный день
11 сентября, среда
13 лунный день
19 сентября
, четверг 9000 день3
20 сентября, пятница
22 лунный день
21 сентября, суббота
23 лунный день
24 сентября, вторник
26 лунный день
25 сентября, среда
27 четверг 26 сентября
27 лунный день
27 сентября, пятница
28 лунный день
Лучшие дни
2 октября, среда
5 лунный день
5 октября, суббота
8 лунный день
8 октября, вторник
11 лунный день
18 октября, пятница
21 лунный день
23 октября, среда
26 лунный день
24 октября, четверг
лунный день
25 октября, пятница
27 лунный день
26 октября, суббота
28 лунный день
31 октября, четверг
5 лунный день
Лучшие дни
18 ноября, понедельник
23 лунный день2 21 ноября, четверг
26 лунный день
22 ноября, пятница
26 лунный день
23 ноября, суббота
27 лунный день
30 ноября, суббота
5 лунный день
Лучшие дни
Лучшие дни
, понедельник
14 лунный день
16 декабря, понедельник
21 лунный день
17 декабря, вторник
22 лунный день
18 декабря, среда
9 0002 23 лунный день23 декабря, понедельник
27 лунный день
24 декабря, вторник
28 лунный день
Подпишитесь на рассылку новостей о благоприятных датах!
Спасибо! Мы отправим вам уведомление прямо перед тем, как наступят благоприятные даты.
Стрижки по лунному календарю — лучшее время под луной
Лучшее время для стрижки:
1) Если вы хотите, чтобы ваши волосы росли быстрее и у них были сильные корни, подстригайте и кормите их во время колеблющейся Луны .2) Если вы хотите замедлить рост волос и укрепить корни волос, отрежьте их во время убывающей луны .
3) Нельзя стричь волосы:
в новолуние (наиболее критический период для вашего тела)
в 9-й лунный день
в 15-й лунный день (обратите внимание на свое здоровье и лунную фазу для вашего знак зодиака при выборе этого дня)
в 23-й лунный день
в 23-й лунный день
Время лунных и солнечных затмений неподходящие.Также проверьте влияние планеты, благоприятно оно или нет.
Знак Зодиака — важнейший фактор при выборе подходящего времени для стрижки!
1) Луна в Овне — ускорить рост волос с потерей их качества. В целом этот период неблагоприятен для стрижки, потому что иммунитет снижается, но увеличивается вероятность заболевания.2) Луна в Тельце, Козероге и Деве — благоприятный период для роста волос с меньшим расщеплением и выпадением.Для использования химикатов для стрижки (завивки, красок и т. Д.) Лучше всего, когда Луна находится в Деве.
3) Луна в Близнецах — делает волосы мятежными, но если вы хотите, чтобы они завивались, это может быть полезно.
4) Луна в Близнецах и Весах . Благоприятное время для изготовления прически для улья. Хороший рост волос после стрижки. Здоровье волос остается неизменным.
5) Луна в Водолее . Хороший период для экспериментов с прической, но не пытайтесь сделать ее привычной.Здоровье волос остается неизменным. Тем не менее, по возможности избегайте стрижки.
6) Луна в Раке и Рыбах замедляет рост волос. Хороший период для тех, у кого ломкие и сухие волосы. Прическа не держит форму, бунтарские волосы не подходят для укладки. Шампунь не рекомендуется.
7) Луна в знаке Льва благоприятна для окрашивания и украшения волос. Здоровье волос остается неизменным. Благодаря стрижке волосы получаются красивыми, шелковистыми и объемными.Если у вас густые волосы, завивка может быть неблагоприятной.
8) Луна в Стрельце неблагоприятна для стрижки. Прическа не держит форму, бунтарские волосы не подходят для укладки. Но эти дни могут подойти тем, кто хочет, чтобы его волосы и карьера росли быстрее.
9) Луна в Скорпионе не влияет на здоровье волос. Волосы могут становиться жестче и гуще. Это очень напряженная фаза луны для стрижки, потому что она может улучшить или разрушить отношения с вашим партнером противоположного пола.
Долгосрочное наблюдение за взаимосвязями фаз Луны и здоровьем волос позволяет сделать вывод, что лучшее время для стрижки — полнолуние. Это происходит из-за того, что наш организм как биологическая структура сильно зависит от естественных ритмов. Период полнолуния — это момент, когда все наполнено лунной энергией. Все излишки всплывают. Во время убывания луны эта энергия выводится из нашего тела, в противном случае, если мы не помогаем этому процессу, она застаивается. Поэтому рекомендуется подстригать волосы (достаточно легкого стрижки), чтобы зарядиться энергией.
Однако не стоит забывать соблюдать свой личный ритм и заботиться о своем здоровье. Для некоторых людей время полнолуния может иметь решающее значение, поэтому лучше выбрать другой день для стрижки.
Идеальное время для стрижки — это время Полнолуния во Льве или в Деве. Эти дни случаются нечасто, так что не пропустите их, чтобы подстричься.
Лунный календарь стрижек — лучшие дни в зависимости от Луны
Чудо, лучшие дни для стрижки? Ответ на этот вопрос зависит от вашей цели, результата, который вы хотите получить.Обрезая кончики, вы наверняка надеетесь, что волосы быстро отрастут и станут здоровее. Но создавая новый образ с помощью кардинальной стрижки, рассчитываете, что она надолго сохранит форму и длину. И здесь работают простые лунные правила — я их описал в пост-фазах лунного цикла.
«Женщина подстригает волосы, когда хочет изменить свою жизнь»
Коко Шанель
Лунный календарь стрижек — лучшие дни в зависимости от фаз Луны
Как известно, прибывающая луна ( 1–15 лунные дней ) лунной весной и летом провоцирует рост и развитие всего на Земле.То же самое, конечно, относится и к нашим волосам. Остриженные на растущей луне волосы быстро растут, и это лучшее время для стрижки кончиков. Убывающая Луна ( 16-30 лунные дни ), постепенно исчезающая с ночного неба, постоянно истончается и уменьшается, способствуя замедлению роста и избавлению от всего лишнего. Лунная осень и зима — лучшие периоды для стрижки, которую вы надеетесь надолго сохранить в первозданном виде.
Какой сегодня лунный день? Лунный календарь 2020 >>
Худшие дни для стрижки по лунному календарю
Однако не все так просто.Помимо скорости роста волос, на выбор лучшего лунного дня для стрижки влияют и другие факторы. Не забывайте, что каждый лунный день соответствует определенной части человеческого тела, активизирует определенные органы. Астрологи советуют избегать прямого воздействия на орган в тот лунный день, который его активирует. Поэтому из лунного календаря стрижек исключаются дни, соответствующие органам головы и коже. Итак, 5 и 22 дней лунного цикла неблагоприятны для стрижки волос.
Кроме того, в лунном цикле есть дни смены фаз Луны. Как правило, в некоторых эзотерических школах такие дни считаются неблагоприятными и даже сатанинскими. На самом деле эти дни лунного цикла — 9, 15, 19 и 29 — просто характеризуются очень мощным потоком лунной энергии, с которым не все люди могут справиться. Поэтому не забывайте, что парикмахер тоже человек. В неблагоприятные лунные дни его лучше не посещать.
Лучшие дни для стрижки по лунному календарю
Кроме того, не стоит забывать о природе каждого лунного дня и его особом влиянии на все сферы жизни человека.Конечно, это влияние распространяется и на манипуляции с волосами. Лучшие дни для стрижки — это не просто дни, которые способствуют их более быстрому росту или, наоборот, замедляют его, сохраняя аккуратность прически. Стрижка в определенный лунный день может благоприятно сказаться на вашем финансовом положении или отношениях с противоположным полом — а все зависит от настроения текущей Луны.
Например, 3 лунный день , своей активной энергией и деловой хваткой поспособствует увеличению доходов человека, который сделает стрижку.Стрижка на 13 лунный день поможет человеку кардинально изменить свою жизнь к лучшему, насытив ее творчеством и новаторскими идеями, соответствующими духу дня.
Лунный календарь стрижек — общие правила
Будьте внимательны и помните, что разные манипуляции с волосами — стрижка, окрашивание, химическая завивка, лечение — часто имеют совершенно разную суть с точки зрения лунной энергии. Выбирая, когда стричь волосы по лунному календарю, не планируйте другие процедуры в эти дни.Помните, что для раскрашивания, например, убывающая луна — плохой выбор. Цвет может быстро исчезнуть с ваших волос (как убывающий полумесяц, переходящий к новой луне, с неба). Ну и самое главное. Определяя, когда лечить зубы по лунному календарю, имейте в виду, что есть несколько особых дней, которые вы можете использовать, чтобы спланировать что угодно, включая посещение парикмахерской.
Итак, 1 лунный день цикла создан для планирования, определения целей и желаний, продумывания стратегий в любой сфере своей жизни.Если в первый лунный день вы определитесь со своей новой прической, будущим типом стрижки и удачным сроком для нее, вы, вероятно, будете довольны результатом.
7 лунный день активирует силу слова. Поэтому имейте в виду, что все, что вы скажете в этот день, обязательно сбудется. Воспользуйтесь силой этого дня, сказав вслух, что поход в парикмахерскую будет успешным — так вы сможете превратить любые даты в лучшие лунные дни для стрижки 🙂
11 лунный день наполняет нас энергией и уверенностью.Задуманные в этот день желания обязательно сбудутся, если вы действительно в это верите и четко знаете, чего хотите. Очень хорошо работать с визуализацией своих желаний в 11 лунный день. Пришло время взять журналы по парикмахерскому искусству и сделать коллаж из модных изображений для карты ваших желаний.
Дополнительные советы по красоте в нашем Лунном календаре 👇Связанные
2020 年 (令 和 2 年) カ レ ン ダ ー (祝 日 ・ 六 曜 ・ 月 齢) | コ ム
2 月
февраль (如月)| 日 | 月 | 火 | 水 | 木 | 金 | 土 |
26 033102 26 0331 270331 27 29 | 30 | 31 | 1 友 引 | |||
2 先 負 | 3 0003 赤 口 | 6 先 勝 | 7 友 引 | 8 先 負 | ||
12 先 勝 | 13 友 引 | 14 先 負 | 9000 2 15 仏 滅 | |||
16 大安 | 17 赤 口 | 18 勝 | 21 仏 滅 | 22 大安 | ||
赤 口 | 友 引 | 25 | 28 赤 口 | 29 先 勝 | ||
1 | 2 | 3131 | 3 | 3 31 | 7 |
11: 建国 記念 の 日 / 23: 天皇 誕生 日 / 24 日: 振 替 休 日 /
5 月
май (皐 月)| 日 | 月 | 火 | 水 | 木 | 金 | 土 |
26 003 03 03 03 03 02 29 | 30 | 1 赤 口 | 2 先 勝 | |||
友 引 | 0003 | 31 | 31 赤 口 | 8 先 勝 | 9 友 引 | |
10 先 負 | 11 | 11 赤 口 | 14 先 勝 | 15 友 引 | 16 先 負 | |
17 仏 滅 | 18 大安 | 19 赤 口 | 20 先 000303 000303 | 23 仏 滅 | ||
24 大安 | 25 赤 口 | 26 0003000303 000303 | 29 仏 滅 | 30 大安 | ||
31 口 | 1 | 3131 | 2 31 | 2 | 2 31 | 6 |
3: 憲法 記念 日 / 4: み ど り の 日 / 5: こ ど も の 日 / 6 日: 振 替 休 日 /
11 月
ноябрь (霜 月)| 日 | 月 | 火 | 水 | 木 | 金 | 土 | |||||||||
4 先 負 | 5 仏 滅 | 6 大安 | 7 0003 | 7 友 引 | 10 先 負 | 11 仏 滅 | 12 大安 | 13 31 | 13 31仏 滅 | 16 大安 | 17 赤 口 | 18 先 勝 | 19 友 引 | 20 先 負 | 21 仏 滅 |
22 240003 | 22 240003 | 240003 | 26 先 負 | 27 仏 滅 | 28 大安 | ||||||||||
29 | 29 | 2 | 3 | 4 | 5 | ||||||||||
6 | 7 | 7 | 3111 | 12 |
3: 文化 の 日 / 23: 勤 労 感謝 の 日 /
.
А вот если Луна в Водолее или Овне, то стрижку лучше отложить.

Хотите кардинально поменять имидж — дерзайте, пробуйте. Даже если что то пойдет не так — краска сойдет быстро.
неблагоприятный день для посещения парикмахерской, стрижка может сильно навредить внешнему виду: вызвать выпадение волос и даже привести к облысению.
Краска не будет долго смываться, волосы будут быстро расти.
Это может привести к ослаблению иммунной системы, что поспособствует развитию недугов.
Это подходящее время для проведения лечебных процедур по восстановлению структуры волосяного покрова.



Стрижка не окажет негативного воздействия на структуру волос, однако значительно замедлит их рост.



19, среда
01.19, среда